Статьи

К истории создания

Еще о Довженко

ВГИКовские этюды Роллана Сергиенко: от Дёмина до Шпаликова

Художественные фильмы Роллана Сергиенко
Важное

Художественные фильмы Роллана Сергиенко

Жертва мечты. О неснятых кадрах и цене, которой строилась эпоха

Тексты

Художник моего типа не отвечает, но ставит вопросы

Авторское слово Софии Губайдулиной в аспекте религиозного сознания

«Во имя высоких идеалов!»
Тексты

«Во имя высоких идеалов!»

Размышления о путях развития украинского советского киноискусства

Критика

Фильмы с маркой «Укркинохроника»

Портреты украинских документалистов перьями украинских критиков

Враждебность к новым голосам
Материалы к биографии

Враждебность к новым голосам

Цензура в 70-ые годы

В ожидании тирамису
Критика

В ожидании тирамису

Лидия Маслова о фильме «Пока ночь не разлучит»

Тёмная ночь
Критика

Тёмная ночь

О фильме «Пока ночь не разлучит»

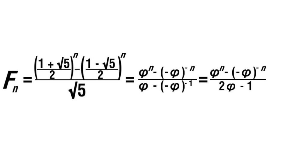
Ряд Фибоначчи привлек ее своей логической красотой
К истории создания

Ряд Фибоначчи привлек ее своей логической красотой

Числовые тайны музыки Софии Губайдулиной